
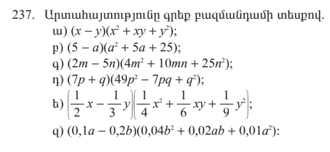
ա)ab
բ)(a+b)2=a2+ab+b2
գ)(a+b)3=a3+ab+b3
դ)a2+b2=a2b2
ե)a3+b3=a3b3
զ)2a*2b=4ab
է)3a*3b=9ab
ը)a2*3b=3a2b
թ)

ա)x3+3x2y+3xy2+y3
բ)x3+3x21+3×12+13
գ)x3+3x2+12x+8
դ)33+332y+33y2+y3

ա)a3+3a2b+3ab2+b3
բ)a3+3a24+3a42+43
գ)2a3+32a21+32a12+13
դ)2a3+32a23b+32a3b2+3b3
ե)x3+3x23z+3x3z2+3z3
զ)2b3+32b23+32b32+33

ա․ab
բ․
գ․
դ․

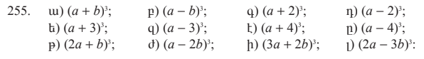
ա.x3-3x2y+3xy2-y3
բ.x3-6x2+3x-1
գ.x3-6x2+12x-8
դ.x3-9×2+27x-27

ա.a3+3a2b+3ab2+b3
բ.a3-3a2b+3ab2-b3
գ.a3+6a2+12a+8
դ.a3-6a2+12a-8
ե.a3+9a2+27a+27
զ.a3-9a2+27a-27
է.a3+12a2+48a+64
ը.a3-12a2+48a-64
թ.8a3+12a2b+6ab2+b3
ժ.a3-6a2b+12ab2-8b3
ի.27a3+54a2b+36ab2+8b3
լ.27a3-54a2b+36ab2-8b3

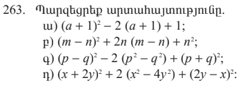
ա․2a2+2a+1-2a-2+1=2a2
բ․m2-2mn+n2+2mn-2n2+n2=m2
գ․
դ․

























