Monthly Archives: May 2024

Գործնական հայոց լեզու

1.Տրված բառերից առանձնացնե՛լ հոմանշային զույգեր։

Հսկայական, ողորկ, համեստ, վիթխարի, դժվար, հավաքել, դյութիչ, հուզիչ,հմայիչ, ծավի, ստերջ, բիլ, դրվատել, դեղձան, գովել, դատարկել, սնապարծ,անպտուղ, պարպել, խոնավ, ժողովել, տամուկ, խրթին, հարթ:

Հսկայական—վիթխարի, դյութիչ—հմայիչ, ողորկ— հարթ, դժվար—խրթին, հավաքել—ժողովել, ծավի—բիլ, տամուկ—խոնավ, դրվատել—գովել, ստերջ—անպտուղ, պարպել—դատարկել։

2.Ժխտական նախադասությունները դրակա՛ն դարձրու երկու ձևով՝ փոխելով ժխտական դերանունը: Ոչ մեկը չի հասկանում իմ ցավը֊Բոլորը հասկանում են իմ ցավը և ինձ հուսադրում են: Ոչինչ ավելի վատ չէ, քան մենակությունը: Ոչինչ չխնդրեց օտարության մեջ գտնվող հորից: Ոչ մի բան չի կարող փչացնել նրա բարձր տրամադրությունը: Այդ ընթացքում ոչ ոք չեկավ: Ոչինչ չէր խանգարում գիշերային անդորրը:

3.Կետերի փոխարեն գրի՛ր տրված բառերից մեկը:

Անոթ տարածության մեջ մարդն իր մարմինը չի զգում: (անօդ, անոթ)

Աղջիկը դասավորեց արհեստանոցի բոլոր աննոդները ու դուրս եկավ: (անօդ, անոթ)

Տղայի աղմկոտ ու անհանգիստ վարքը վախեցնում էր ծնողներին: (վարկ, վարք)

Նրանք ամեն ինչ արեցին իրենց արտադրանքի վարքը բարձր պահելու համար: (վարկ, վարք)

4.Ձեր դասարանի մասին պատմի՛ր և պատմությունդ վերնագրի՛ր: Այնպե՛ս արա, որ տրված հարցերի պատասխաններն էլ լինեն պատմությանդ մեջ: Առանձին մարդկանց մասին գրելուց մի՛ խուսափիր:

ա) Ձեր դասարանն ինչպիսի՞ն է: բ) Ձեր դասերն ինչպե՞ս են անցնում: գ) Դասամիջոցնե՞րն ինչպես են անցնում: դ) Դասերից հետո(դպրոցից դուրս) ինչպե՞ս եք ընկերություն անում:

Մեր դասարանը շատ խաղասեր է։Մեր դասերը անցնում են շատ լավ։Մենք մեր դասամաիջոցներին գնում ենք էտալոն բացի Ալենից։Մենք դասերից հետո կապնվում ենք հեռախոսի օգնությամբ կամ ել գնում ենք իրար հյուր։

5.Ուսումնական տարվա ակզբի ամենահետաքրքիր դեպքը պատմի՛ր և պատմությունդ վերնագրի՛ր: Տրված առաջադրանքները կօգնեն քեզ (կարող ես հերթականությունը չպահպանել): Նկարագրի՛ր՝ որտե՛ղ և ե՛րբ է կատարվել դեպքը: Մանրամասն նկարագրի՛ր դեպքը: Նկարագրի՛ր և բնութագրի՛ր պատմությանդ հերոսին կամ հերոսներին: Կատարվածի նկատմամբ քո և ուրիշների արտահայտած վերաբերմունքի մասին պատմի՛ր: Աշխատի՛ր, որ խոսքդ համապատասխանի նկարագրվող իրավիճակին:

Այդ դեպքը տեղի է ունեցել ձմեռային ճամբարում երբ,որ մենք ընկերներով չենք կարողացել իրար ջակատ լինենք մենք եղել էինք առանձին ես, մենակ ընկեր Երանուհու իսկ Ալենը ու Վաչեն եղել էին ընկեր Սարգիսի։Մենք մեր դասղեկին ամեն ջամ համոզում էինք որ լինեինք իրար ջոկատում։

Հայոց լեզու 17.05.2024

17.05.2024

1.Այնպիսի պատմություն գրի՛ր, որ հետևյալ հետևությունն արվի:

Իր աչքի գերանը չի տեսնում, ուրիշի աչքի շյուղն է տեսնում:

Հեռավոր գյուղերում ապրում են երկու հարևան, երկուսն էլ ունեին այգի։

Մեկը ծուլանում էր և իր աչքի գերանը չի տեսնում, ուրիշի աչքի շյուղն է տեսնում:
, իսկ  միուսը խնամում էր, բայց շատ վատ։

Մի արևոտ օր մի ծույլ հարևանը ինքն իրեն ասում է՝ հարևանս շատ վատ է իր այգու հետ վարվում։ Պարկած խոտերի մեջ մտածում է, բայց նույնիսկ չի նկատում, որ նա ոչինչով չի զբաղվել և նրա այգին ամբողջուցյամբ թոռոմել է, իսկ հարևանինը ունի բերք՝ կեսը լավ, իսկ կեսը որթնած ու փչածած։

2.Նախադասությունները համապատասխանաբար տեղադրի՛ր տեքստում: Տրված և ստացված տեքստերը համամատի՛ր:

Քաղաքի անունը Օուշեն Գրոուվ է: Յոթ հազար բնակիչ ունի: Քաղաքի փողոցներում ո՛չ մի ճռռոց ու հռնդյուն չես լսի: Մա՛րդ են, հանկած մեքենա վարելու գայթակղությանը չտրվեն: Երկարատև բանավեճերից հետո մի բացատրություն է արվել: ԱՄՆ-ի Նյու-Ջերսի նահանգում մի փոքրիկ քաղաք կա: Արդեն հայուր տարի է, ինչ այնտեղ կիրակի օրը հայտարարված է «լռության օր»: Այդ օրը տրանսպորտի երթևեկությունն արգելված է : Թերթերն առաքվում են հեծանիվներով: Փողոցները ծանր, թուջե շղթաներով ցանկապատվում են ու փականքով փակվում։

3. Ընդգծված նախադասությունը (հեղինակի խոսքը) գրի՛ր: ա) ուրիշի ուղղակի խոսքից առաջ, բ) ուրիշի ուղղակի խոսքից հետո: «Ես զգում էի,- պատմում է վեպի հերոսը,- թե ինչպես են սուզանավի պատուհանները, ջրի

ճնշմանը ենթարկվելով, ներս հրվում»: «Նավապետը մեղավոր է ճանաչվում, գրված էր դատական արձանագրության մեջ,- քանի որ ճանապարհը զիջելու ոչ մի հրաման չի տրվել»: «Եթե մարմինը լույսը չի կլանում, չի անդրադարձնում և չի բեկում,- գրված է գրքում,- ինքնըստինքյան անտեսանելի է»:

4.Կետերի փոխարեն գրի՛ր փակագծում տրված բառերի հականիշները:

Փարիզում անցորդներից մեկը կոշտ անձրևի տակ ընկավ:Թրչվելուց պաշտպանվելու համար թևի տակի նկարը բարձրացրեց գլխի վրա ու վազեց: երերուն աշխարհում դեռևս ոչ ոք անձրևից այդպիսի թանկագին «անձրևանոցով» չէր պաշտպանվել: Տեսնելով անցորդի գլուխը պաշտպանող նկարը`դեպքի կամավոր վկան`ոստիկանը, զարմանքից խոսեց: Նա ճանաչեց Գյուստավ Կուրբեի նշանակալի «Քնած շիկահեր կինը» կտավը: Թանգարանից հափշտակված այդ նկարի վերատպված օրինակները հենց այդ օրը ցրվեց ոստիկաններին: Նկարը յոթ հարյուրից ութ հարյուր դոլար էր գնահատված: Ոստիկանը մարդուն … (առաջնորդել) մինչև նրա բնակարանը, որտեղ գտավ այլ ժամանակներում այլ տեղերից գողացված նկարների ամբողջ պատկերասրահ: -Ավելի լավ էր մինչև ոսկորներս հալվեի,- տխրություն ասաց գողը, երբ նրան բրնեցին:

15․05․2024 Հայոց լեզու

1.Տրված տեքստերը փոխադրի՛ր` ընդհանուր վերնագիր և հետևություն գրելով:

Ա. Ծխելու վնասակար լինելու մասին բավականին շատ փաստարկներ կան: Սակայն շվեյցարացի բժիշկները ևս մեկ, շատ լուրջ փաստարկ են բերում: Նրանք էլեկտրոնային սարքավորումներով Լոզանի սիմֆոնիկ նվագախմբի հարյուրավոր երաժիշտների լսողությունն ստուգել են ու պարզել, որ չծխողները երաժշտական շատավելի լավ լսողություն ունեն, քան նրանք, ովքեր ծխախոտին գերի են: Բժիշկները եզրակացրել են, որ ծխելն ու լուրջ երաժշտությունն անհամատեղելի են։

Բ. 1992 թվականին Բարսելոնի ամառային խաղերի կազմակերպիչներն ամեն ինչ անում էին, որ դա լիներ օլիմպիադա՝ առանց ծխախոտի ծխի: Որոշվել էր ծխախոտ չվաճառել բոլոր այն վայրերում, որտեղ պիտի մրցույթ անցկացվեր: Արգելված էր ծխախոտի գովազդը: Եվ իհարկե, խոսքը միայն մարզական շենքերի ու մարզադաշտերի մասին չէր, այլ նաև՝ օլիմպիական գյուղի և մշակութային կենտրոնների:

2.Բառակապակցության  իմաստն  արտահայտիր  մեկ  բառով:

Թագավորական աթոռ-Գահ
քաղաքամերձ բնակավայր-արվարձան
վատ լուր հաղորդող-գուժաբեր
ձիերի խումբ-երամակ
հաճելի հոտ-բույր
կովերի խումբ-նախիր
ձկների խումբ-վտառ
մեղուների խումբ-պարս

3.Փակագծերում  տրվածներից  ընտրիր  փոխաբերական  իմաստ  ունեցող  բառը;
Բնակատեղին  հետզհետե  ընկղմվեց  (սև, գիշերային, ամենակուլ)  խավարի մեջ:
Ձորի վրա ծիծեռնակի  (կիսաքանդ, տխուր, թափուր) բույնն էր  կախվել  անպաշտպան:
(Տխուր, թ խպոտ, ամպամած) երկնքից  անձրևն  էր   մաղում շիկացած  հողին:
Դու եկար սպիտակ շորերով, երբ (ձմռան, ցուրտ, վշտահար) երեկոն էր  իմ սրտում:
Կանաչների  միջով  հևասպառ  հոսում  էր (լեռնային, վրդովված, վճիտ)  գետակը:

4. Երկու շարքից առանձնացնել դարձվածքն  ու նրա բացատրությունը:
1. Ականջին օղ անել-մտապահելահը սիրտն ընկնել-երկյուղելանվանը մուր քսել-անարգել,   անդանակ մորթել-տանջելառյուծ կտրել-խիզախանալբռունցք  թափ  տալ-սպառնալարձան կտրել-քարանալ, բախտը  ժպտալ-հաջողվել, բառերը  քամուն  տալ-հիանալ, բերանը  բաց  մնալ-Շատախոսել:

5.Տրված  բարդ  բառերի  առաջին  բաղադրիչները  փոխելով՝ ստացիր  նոր  բառեր:
Բարձրագագաթ-ցածրագագաթ
քաղցրաձայն-բաղաձայն
սահադաշտ-խոտովդաշտ
օրագիր-ձեռագիր
ցատկահարթակ-
հոռետես-հեռատես
գինետուն-դեղատուն
գործընկեր-դասընկեր

13.05.2024 Հայոց լեզու

1.Ձեր բակի մասին պատմի՛ր (մարդկանց՝ մեծերի ու երեխաների, հետաքրքիր անձերի ու դեպքերի մասին գրի՛ր):

2.Տրված հարակատար դերբայները տեղադրի՛ր կետերի փոխարեն:

Երբ արդեն ամեն ինչ բերած էր, բոլոր պատվերները՝ ասված մոտեցավ մեքենային: Վարպետի կառուցած բոլոր կամուրջները մինչև այսօր կան: Երբ արքայի հրամանով տնկված անտառը մի քիչ մեծացավ, այնտեղ վայրի կենդանիներ էլ բացթողեցին: Աշխարհում մի մարդ միայն կարող է օգնել քնած գեղեցկուհուն: Այս կողմերից մի քանի տարի առաջ հեռացած մարդիկ մեր ավանը չեն ճանաչի: Հեղեղի տրված տուփը ոչ մի կերպ չէր բացվում:

3.Ո՞ր բառերի միջոցով է արտահայտվում խոսողի վերաբերմունքը (եղանակավորում նախադասությունը):

Այնպես լինի, որ ինքը կարողանա խուսափել այդ հանդիպումից: Պիտի գնա ու արևի մասին պատմի աշխարհին: Եթե մարդկանց ու մեքենաների աղմուկը չլինի, ամեն առավոտ կլսեք ջութակի ձայնը: Գոնե կարողացա խուսափել այդ հանդիպումից: Անշուշտ գալու է և անպայման ամեն ինչ պատմելու է: Ամեն առավոտ երևի լսում եք ջութակի ձայնը:

4.Ըստ տրված կաղապարների՝ կազմի՛ր բարդ նախադասություններ:

Թեկուզ կյանքում աւեր ինչ հարթ չէր, այնուամ֥նայնիվ նա ժպտում էր:
Թեպետ պա տրաստվել էր քննությանը, սակայն նա վախենում էր ցքից:
Չնայած որ րտָւթյուն էր կրել, բայց նա դիմադրում էր մինչև վերջ:
Թեև նա հիվանր էր, բայց և այնպես նրանք հան։ իպեցին:

5.Տեքստը փոխադրի՛ր՝ անուղղակի խոսքերն ուղղակի դարձնելով:

Բռնցքամարտի չեմպիոն, համաշխարհային հռչակի տեր Մուրը ջազային նվագախմբի տնօրեն ընկերոջից մի մեծ գումար փող առավ: Նա ընկերոջը հարցրեց, թե ի՛նչ երաշխավորագիր տա նրան: Վերջինս պատասխանեց, թե ուզում է, որ նա իր նվագախմբի անդամ դառնա: Մարզիկը շատ զարմացավ և ասաց, որ ինքը երաժշտական լսողություն չունի և ոչ մի գործիք չի նվագել երբևէ: Տնօրենը պատասխանեց, որ դա կարևոր չէ, դրա փոխարեն նա առողջ թոքեր ու շատ հայտնի անուն ունի:

Բռնցքամարտի չեմպիոն, համաշխարհային հռչակի տեր Մուրը ջազային նվագախմբի տնօրեն ընկերոջից մի մեծ գումար փող առավ:
Տնօրենը ընկերոջից հարցրեց՝ ի՛նչ երաշխավորագիր տամ քեզ:
Վերջինս պատասխանեց՝ ուզում եմ, որ ես իմ նվագախմբի անդամ դառնամ: Մարզիկը շատ զարմացավ և ասաց՝ Ես երաժշտական լսողություն չունեմ և ոչ մի գործիք չեմ նվագել երբևէ:
Տնօրենը պատասխանեց դա կարևոր չէ, դրա փոխարեն դու առողջ թոքեր ու շատ հայտնի անուն ունես:

6. Ուրիշի ուղղակի խոսքերը դարձրո՛ւ անուղղակի և գրի՛ր, թե ընդգծված բառերից յուրաքանչյուրն ինչպե՞ս փոխեցիր:

Արագիլին հարցրին. -Իմաստո՛ւն հավք, ինչո՞ւ ես անվերջ մի ոտի վրա կանգնում: Գարնանը մոծակը դուրս եկավ ուղտի ականջից, ուղղեց թևիկներն ու տզզաց. -Շնորհակալ եմ հյուրընկալության համար, բարեկա՛մ, մնաս բարով, ես գնում եմ: Ուղտը վիզը ծռեց, մի կերպ տեսավ իր հետ խոսող մոծակին ու ասաց. — Դու ո՞վ ես, քեզ չեմ ճանաչում: Մոծակը թռավ առյուծի մոտ ու ձայն տվեց.

-Ես քեզնից չեմ վախենում, է˜, որովհետև դու ինձնից ուժեղ չես:

Իրական թվեր (դաս 16)

ա)9>8
բ)32 >25
գ) 0,25 >0,16
դ)1,1 < 4,1
ե)16/25 < 25/16
զ․(1 1/3)3>2,42
է․0,52<0,53
ը․(4/5)2<(4/5)3
թ․(-0,3)2>(-0,4)2

ա.(1/2)5<(3/4)3
բ.(1/3)5<(1/9)2
գ.(-1/2)5>(-3/4)3
դ.(-2/5)3<(-1/2)5
ե.(-1/3)2*(-1/2)>(-1/6)2
զ.(-1/5)2*(-3/4)>(-3/4)2
է.1 1/3-1/3*(1 1/4-1/9*(1 1/2)2)<1
ը.1/2*((2 1/3)2-31*(1/3)2)-1>1

ա.(-0,5)2,-16,1<4
բ.(-5)3,0,1<2,13
գ.8*(-1/2),8*(-1/2)2>8:(-1/2)

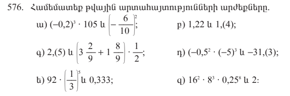
ա․(-0,2)3*105<(-6/10)2
բ․1,22<1(4)
գ․2()5<(3 2/9+1 8/9)*1/2
դ․(-0,52*(-5)3)>-31(3)
ե․92*(1/3)5>0,333
զ․162*83*0,258<2

13․05․2024 Հայոց լեզու

1.Ձեր բակի մասին պատմի՛ր (մարդկանց՝ մեծերի ու երեխաների, հետաքրքիր անձերի ու դեպքերի մասին գրի՛ր):
Ես մեր բակում շատ ընկերներ ունեմ։Իմ ընկերները շատ են սիրում ֆուտբոլ խաղալ բայց մեր բակում ֆուտբոլի դաշտ չկար բայց լիքը ավտոտնակներ կար։ավտոտնակները իրար դեմ դիմաց են կառուցված։Իմ ընկերները քանի որ շատ են սիրում ֆուտբոլ խաղալ բայց ֆուտբոլի դաշտ և դարպասներ չկար իմ ընկերները ավտոտնակներն որպես դարպասներ են համարում և ավտոտնակների արանքում են ֆուտբոլ խաղում և միշտ գնդակը միամիտ տշում են ներքեվի մանկապարտեզ։

2.Տրված հարակատար դերբայները տեղադրի՛ր կետերի փոխարեն:

Երբ արդեն ամեն ինչ բերած էր, բոլոր պատվերները՝ ասված մոտեցավ մեքենային: Վարպետի կառուցած բոլոր կամուրջները մինչև այսօր կան: Երբ արքայի հրամանով տնկված անտառը մի քիչ մեծացավ, այնտեղ վայրի կենդանիներ էլ բացթողեցին: Աշխարհում մի մարդ միայն կարող է օգնել քնած գեղեցկուհուն: Այս կողմերից մի քանի տարի առաջ հեռացած մարդիկ մեր ավանը չեն ճանաչի: Հեղեղի տրված տուփը ոչ մի կերպ չէր բացվում:

3.Ո՞ր բառերի միջոցով է արտահայտվում խոսողի վերաբերմունքը (եղանակավորում նախադասությունը):

Այնպես լինի, որ ինքը կարողանա խուսափել այդ հանդիպումից: Պիտի գնա ու արևի մասին պատմի աշխարհին: Եթե մարդկանց ու մեքենաների աղմուկը չլինի, ամեն առավոտ կլսեք ջութակի ձայնը: Գոնե կարողացա խուսափել այդ հանդիպումից: Անշուշտ գալու է և անպայման ամեն ինչ պատմելու է: Ամեն առավոտ երևի լսում եք ջութակի ձայնը:

4.Ըստ տրված կաղապարների՝ կազմի՛ր բարդ նախադասություններ: Թեկուզ……………… , այնուամենայնիվ………..: Թեպետ………………, սակայն………………….: Չնայած որ………….., բայց………………………: Թեև…………………., բայց և այնպես……………:

5.Տեքստը փոխադրի՛ր՝ անուղղակի խոսքերն ուղղակի դարձնելով:

Բռնցքամարտի չեմպիոն, համաշխարհային հռչակի տեր Մուրը ջազային նվագախմբի տնօրեն ընկերոջից մի մեծ գումար փող առավ: Նա ընկերոջը հարցրեց, թե ի՛նչ երաշխավորագիր տա նրան: Վերջինս պատասխանեց, թե ուզում է, որ նա իր նվագախմբի անդամ դառնա: Մարզիկը շատ զարմացավ և ասաց, որ ինքը երաժշտական լսողություն չունի և ոչ մի գործիք չի նվագել երբևէ: Տնօրենը պատասխանեց, որ դա կարևոր չէ, դրա փոխարեն նա առողջ թոքեր ու շատ հայտնի անուն ունի:

6. Ուրիշի ուղղակի խոսքերը դարձրո՛ւ անուղղակի և գրի՛ր, թե ընդգծված բառերից յուրաքանչյուրն ինչպե՞ս փոխեցիր: Արագիլին հարցրին. -Իմաստո՛ւն հավք, ինչո՞ւ ես անվերջ մի ոտի վրա կանգնում: Գարնանը մոծակը դուրս եկավ ուղտի ականջից, ուղղեց թևիկներն ու տզզաց. -Շնորհակալ եմ հյուրընկալության համար, բարեկա՛մ, մնաս բարով, ես գնում եմ: Ուղտը վիզը ծռեց, մի կերպ տեսավ իր հետ խոսող մոծակին ու ասաց. — Դու ո՞վ ես, քեզ չեմ ճանաչում: Մոծակը թռավ առյուծի մոտ ու ձայն տվեց.

-Ես քեզնից չեմ վախենում, է˜, որովհետև դու ինձնից ուժեղ չես:

Հայոց լեզու 10․05․2024

1.Նախադասությունն ընդարձակի՛ր՝ ավելացնելով բառեր կամ բառակապակցություններ, որոնք ցույց տան, թե ո՞ւմ կամ ինչի՞ն է պատկանում (վերաբերում) ենթական: Ի՞նչ հարցի են պատասխանում ավելացված լրացումները: Ի՞նչ անուն կտաս դրանց:

Օրինակ` Դուռը փոքիկ աղջիկը բացեց:- Դուռը նրա փոքրիկ աղջիկը բացեց:

Պատճառը շատ խորն է թաքնված-պատճառը շատ խորն է թաքնված

Անշարժ անիվի ճաղերը կարելի է հաշվել-կառքի անշարժ անիվի ճաղերը կարելի է հաշվել

Աչքից ոչինչ չի վրիպում-նրա աչքից ոչինչ չի վրիպում


Որդին դեռ փոքր է-նրա որդին դեռ փոքր է

Ո՞ր մասում է ավելի հարմար-նրան ո՞ր մասում է ավելի հարմար

2.Տեքստը փոխադրի՛ր` ուղղակի խոսքեր ավելացնելով:
Անցյալ դարի վերջին վիեննացի աստղագետ Պալիսը հայտնաբերեց նոր աստղակերպ: Գիտնականն աստղագիտական հզոր գործիքներ ձեռք բերելու միջոցներ չուներ: Նա հայտարարեց․-
-Վաճառում եմ նոր երկնային մարմնին անուն տալու իրավունքը: Իսկույն հայտնվեց գնորդը: Դա բարոն Ալբերտ ֆոն Ռոտշիլդն էր: Միլիոնատիրոջ ցանկությամբ աստղակերպն անվանվեց նրա կնոջ՝ Բետինայի անունով:



Անցյալ դարի վերջին վիեննացի աստղագետ Պալիսը հայտնաբերեց նոր աստղակերպ: Գիտնականն աստղագիտական հզոր գործիքներ ձեռք բերելու միջոցներ չուներ: Նա հայտարարեց, որ վաճառում է նոր երկնային մարմնին անուն տալու իրավունքը: Իսկույն հայտնվեց գնորդը: Դա բարոն Ալբերտ ֆոն Ռոտշիլդն էր: Միլիոնատիրոջ ցանկությամբ աստղակերպն անվանվեց նրա կնոջ՝ Բետինայի անունով:

3.Տեքստը վերականգնի՛ր պարբերությունների հաջորդականությունը փոխելով: Փորձի՛ր բացատրել, թե ի՞նչ է պարբերությունը (պար-հին հայերեն՝ բոլորում, պարբերություն –հին հայ.՝ շրջան):

Փոխանակությունը պարզեցնելու համար մարդիկ փորձում էին իբրև փոխանակման միջոց ծառայող ամենահարմար առարկան գտնել: Անասունը, մթերքն ու մորթեղենը, որպես փող, հարմար չէին, որովհետև խնամք էին պահանջում ու շուտ էին փչանում:

Մարդիկ աստիճանաբար հասկացել էին, որ փողը ոչ թե ժամանակավոր, այլ մշտական ու հաստատուն պիտի լիներ: Նաև դիմացկուն լիներ, որ ձեռքից ձեռք անցնելիս շուտ չփչանար: Թեթև լիներ, որ կրելը հեշտ լիներ: Իսկ արժեքը և´ եզան ու տան, և՛ նավի ու հողակտորի, և՛ ցանկացած այլ առարկայի արժեքի հետ պիտի համեմատվեր: Ու պիտի բաժանվեր մանր մասերի, որ մանր առարկաների գնումներ էլ կատարվեին: Բայց փոխանակություն կատարելը բարդ էր, քանի որ իրերն ու մթերքները տարբեր արժեքներ ունեին: Արժեքը կախված էր նրանից, թե ինչքա՛ն աշխատանք էր ծախսվել այս կամ այն առարկան կամ մթերքը ստանալու համար, կամ դրանք ձեռք բերելու համար ի՛նչ դժվարություններ ու վտանգներ էին հաղթահարվել:

Մեկ ոչխարի դիմաց, օրինակ, կարելի էր երկու կացին կամ չորս սափոր կամ էլ մեկ անդրավարտիք ստանալ, իսկ հովազի ժանիքներից ու ճիրաններից պատրաստված ապարանջանի փոխարեն՝ նավակ կամ մի զույգ եզ:

Հազարամյակներ առաջ մարդիկ չգիտեին, թե ի՛նչ է փողը, պարզապես զանազան առարկաներ էին փոխանակում միմյանց հետ: Բրուտները խեցե ամաններ ու սափորներ էին տալիս, դարբինները՝ դանակներ, կացիններ ու նետերի ծայրապանակներ, երկրագործները՝ հացահատիկ, յուղ, գինի, անասնապահները՝ միս, բուրդ, կաշի, հաղթանակած մարտիկներն էլ՝ իրենց գերիները: Դրա հետ նոր պահանջ ծագեց:

Հարկավոր էր, որ ամենամանր մասերի բաժանելու ժամանակ էլ փողի ընդհանուր արժեքը չփոքրանար: Օրինակ, եթե մորթին բաժանեին մանր կտորների, կտրոներից ամեն մեկի արժեքն էլ զրո կլիներ, միաժամանակ բոլորինն էլ: Բոլորը, այդ պահանջներին քիչ թե շատ համապատասխանող առաջին փողերից էին խեցիները:

4.Հետևություններից ո՞րն է (որո՞նք են) համապատասխանում տեքստին: Ընտրությունդ հիմնավորի՛ր: Կարող ես նաև այլ հետևություն անել:

Արագիլին հարցրին. — իմաստո՛ւն հավք, ինչո՞ւ ես անվերջ մի ոտքի վրա կանգնում: Պատասխանեց. Որպեսզի գոնե մի քիչ թեթևացնեմ աշխարհի բեռը:

Հետևություն

ա) Մարդիկ մեծամիտ են ու շատ կարևորում են իրենց: Նրանց թվում է, թե իրենք են տանում աշխարհի հոգսը, և իրենցից է կախված, թե աշխարհն ինչպե՛ս է ապրում:

բ) Կա մարդ, որ այնքան բարի է, աշխարհի ու մարդկանց նեղություն չտալու համար պատրաստ է «մեկ ոտքի վրա» ապրելու: Իր կյանքը կդժվարացնի, միայն թե ուրիշների համար հեշտ լինի:

գ) Ծույլ մարդիկ, իրենց բան ու գործը թողած, ամբողջ օրը կարծես աշխարհի հոգսն են հոգում:

դ)Կան պարծենկոտ մարդիկ, որոնք իրենց ամենասովորական արարքները շատ են կարևորում ու դրանք վեհ գաղափարներով բացատրում:

ե) Բոլոր մարդիկ պիտի մեկ ոտք ունենան, որ երկրի բեռը թեթև լինի:

զ) Մարդիկ պետք է հարգեն դիմացինների սովորությունները և դրանց վերաբերող ավելորդ հարցեր չտան, թե չէ երբեմն շատ անհեթեթ պատասխաններ կլսեն: Ամեն ինչ չէ, որ բացատրելի է:

է) Մարդիկ այնքան եսասեր ու շահամոլ են, որ երբեք, մի թռչունի չափ անգամ չեն մտածի իրենց երկրի մասին:

08.05.2024

1.Նախադասությունները հնարավոր ձևերով կետադրի՛ր այնպես, որ տարբեր իմաստներ ունենան:

Անգղերի կռնչոցից վախեցած ձիերը խլշեցին ականջները: Ժայռի կատարին բազմած արծիվն ակնդետ նայում էր երկնի լազուրին: Այս անգամ ուրիշ կաս-կարմիր փողկապով էր նոր ածիլված դեմքով անսովոր առույգ ու կենսուրախ: Տիկին Նվարդը գլխին մի խայտաբղետ մեծ գլխարկ ուրախ- ուրախ անցնում էր: Օրիորդը գլուխը կախեց մտածության մեջ ընկավ Սամվելը նրա սիրելին փորձանքին էր ընդառաջ գնում: Մանուկները գնում էին ծանոթ արահետով, որ տանում էր դեպի բուրգի քարանձավները սիրելի և երկյուղալի վայրեր:

Անգղերի կռնչոցից վախեցած ձիերը, խլշեցին ականջները: Անգղերի կռնչոցից, վախեցած ձիերը խլշեցին ականջները:

Ժայռի կատարին բազմած արծիվն, ակնդետ նայում էր երկնի լազուրին:
Ժայռի կատարին բազմած, արծիվն ակնդետ նայում էր երկնի լազուրին:

Այս անգամ ուրիշ, կաս-կարմիր փողկապով էր, նոր ածիլված դեմքով, անսովոր, առույգ ու կենսուրախ:

Տիկին Նվարդը, գլխին մի խայտաբղետ մեծ գլխարկ` ուրախ- ուրախ անցնում էր:

Օրիորդը գլուխը կախեց, մտածության մեջ ընկավ` Սամվելը նրա սիրելին փորձանքին էր ընդառաջ գնում:

Մանուկները գնում էին ծանոթ արահետով, որ տանում էր դեպի բուրգի քարանձավները` սիրելի և երկյուղալի վայրեր:

2.Ավելորդ բառերը գտի՛ր և նախադասություններն ուղղի՛ր:

Հավանաբար հաջողությամբ կպսակվի նախարարի այս նոր ձեռնարկը երևի:

Հավանաբար հաջողությամբ կպսակվի նախարարի այս նոր ձեռնարկը :

Սրա հիման վրա կլինի հիմքը:

Սրա հիման վրա կլինի:

Մի հատ լուրջ հակաճառություն ունեմ:

Մի լուրջ հակաճառություն ունեմ:

Պատմությունս վերաբերում է հենց քո ընկերոջ մասին:

Պատմությունս վերաբերում է հենց քո ընկերոջը :

Ի՞նչ բան է հրաբուխը:

Ի՞նչ է հրաբուխը:

Ի՞նչ բան են մթնոլորտային ճակատները:

Ի՞նչ են մթնոլորտային ճակատները:

Հեռախոսը դա շքեղություն չէ:

Հեռախոսը շքեղություն չէ:

Նա պատերազմից հետո այդ կողմերը եկող աոաջին և միակ մարդն էր:

Նա պատերազմից հետո այդ կողմերը եկող և միակ մարդն էր:

Դու անպայման մեծ հաջողության կհասնես երևի:

Դու անպայման մեծ հաջողության կհասնես :

3.Նախադասության մեջ ձևով կամ իմաստով սխալ գործածված բառերն ուղղի՛ր:

Թռչունները կարողանում են չվել ինչպես երամներով, այնպես էլ առանձին անհատներով:

Թռչունները կարողանում են չվել ինչպես երամներով, այնպես էլ անհատներով:

Դուք չափազանցացնում եք վտանգը:

Դուք չափազանցացնում եք :

Խոսքը գնում է նրա մասին:

Խոսքը նրա մասին է:

Հաճելի տեսք չի թողնում:

Հաճելի տեսքի չե :

Բանն ինչո՞ւմն է,- հարցրեց ոստիկանը:

Ինչո՞ւմն է,- հարցրեց ոստիկանը:

Գործը նրանում է, որ բոլորը մոռացել են ուխտի մասի:

Նրանում է, որ բոլորը մոռացել են ուխտի մասի:

4․ Նախադասության մեջ շարադասության սխալ կա. ուղղի՛ր:

Որոշակիորեն արահետը ձգվեց բլուրն ի վեր, ու հասկացա, որ հասել ենք բլրի ստորոտին: Դանակով ծակծկող փշերն ու լիանաները կտրում ու ճամփա էր բացում ետրից եկողների համար: Նա աղմկոտ էր շնչում, բայց անաղմուկ ոտքերը դնում էր փափուկ խոտի վրա: Շատ հեշտ էր բարձրանում, կարծես հարթ քայլում էր ճանապարհով: Շատ լավ խոտերի բույնը քողարկում էին:

Արահետը որոշակիորեն ձգվեց բլուրն ի վեր, ու հասկացա, որ հասել ենք բլրի ստորոտին:Ծակծկող փշերն ու լիանաները դանակով կտրում ու ճամփա էր բացում ետրից եկողների համար: Նա աղմկոտ էր շնչում, բայց փափուկ անաղմուկ ոտքերը դնում էր խոտի վրա: Շատ հեշտ էր բարձրանում, կարծես հարթ ճանապարհով էր քայլում:Խոտերի բույնը շատ լավ էին քողարկում: