871.

873.

876.

877.

885.

888.

871.

873.

876.

877.

885.

888.

ԱՐՏԱՇԵՍՅԱՆ ԹԱԳԱՎՈՐՈՒԹՅԱՆ ԿԱԶՄԱՎՈՐՈՒՄԸ

Դաս 1
հարցեր

Դաս 1
Գիր և արվեստ
Դաս 2
Գիտություն
20․02․2023

Դաս 1
ՀԱՅԿԱԶՈՒՆԻ ԵՐՎԱՆԴՈՒՆԻՆԵՐԻ ԹԱԳԱՎՈՐՈՒԹՅԱՆ ՎԵՐԱԿԱՆԳՆՈՒՄԸ
Դաս 2
ՀԱՅՈՑ ԹԱԳԱՎՈՐՈՒԹՅՈՒՆՆԵՐԸ Ք.Ա. ԵՐՐՈՐԴ ԴԱՐՈՒՄ
հարցեր

Փետրվարի 13-17
Դաս 1. Հայաստանը Աքեմենյան տերության կազմում
Դաս 2. ՀԻՆ ԱՐևԵԼՔԻ ԿՐՈՆՆԵՐԸ
05.02.2023
Հարցեր
846․

850․

853․

857․

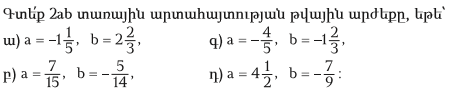
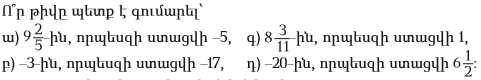
Ա․2x- 1 1/5 x 2 2/3=-32/5 Գ․2x -4/5x-1 2/3=40/15= 8/3
Բ․2x 7/15x-5/14=-1/3 Դ․2x 4 1/2x-7/9=-7
659․

Կամ երկուսն էլ դրական, կամ երկուն էլ բացասական
860․

861․

-5-9 2/5=-72/5
-17-(-3)=-14
865․

Մայրենի
24.Տրված արմատներով բաղադրյալ (բարդ և ածանցավոր) բառեր կազմի՛ր` դրանք դնելով նոր բառերի սկզբում, մեջտեղում և վերջում:
Ուղի-ուղղաթիռ,ուղղանկյուն
ուղիղ-ուղիղաչք
աղտ-աղտեղ,աղտոտ
ախտ-ախտաբան
ուղտ-ուղտավոր
թիռ-ուղաթիռ,ինքնաթիռ,թռիչք
թրջ(ել)-թրջանոթ,թրջած,թրջանոց,թրջված,թրջոց
25. Յուրաքանչյուր շարքից առանձնացնել հոմանիշ բառերի 6 զույգ:
Ա․
Ընչաքաղց-անկշտում
զգաստ-զգոն
լիովին-ամբողջապես
կարեկցել-գթալ
ժրաջան-ջանասեր
ամբոխ-բազմություն
Բ.
Լուրթ-կապտագույն
համամիտ-համակարծիք
տոկուն-կայուն
հաղթանդամ-մեծամարմին
ստահակ-խարդախ
ալևոր-զառամյալ
Գ․
զեփյուռ-սյուք
ճգնել-ջանալ
պերճ-շքեղ
ձանձրալի-Տաղտկալի
ճիրան-մագիլ
մեծանուն-անվանի
26. Բաց թողնված տեղերում գրել տրված բառերը:
Եղյամն էր սնկի գլուխն արծաթում
Մրսում էր կարծես վայրի նշենին
Հանգստանում էր հողմը բացատում`
Ականջն ամպրոպի ազդանշանին:
27. Դարձվածքների իմաստն արտահայտել մեկ բառով:
Ա. Լուն ուղտ դարձնել-չափազանցել
Բ. Շունչ տալ-կենդանացնել
Գ. Սիրտ անել-համարձակվել
Դ. Լույս սփռել-բացատրել
Հարցեր և առաջադրանքներ